A B C D E F G H I J K L M N O P Q R S T U V W X Y Z 9 Ω
Das Banner der Rhetos-Website: zwei griechische Denker betrachten ein physikalisches Universum um sie herum.

Varianz

V oder σ²

© 2016 - 2025




Basiswissen


Die Varianz ist ein Streuungsmaß aus der Statistik. Der Wert gibt indirekt an, wie weit entfernt Daten einer gemeinsamen Datenliste von ihrem gemeinsamen arithmetischen Mittelwert entfernt sind.



Bildbeschreibung und Urheberrecht
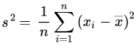
Man sieht die Formel für die Varianz.☛


Was meint die Varianz?


  • Sie sagt in etwa, wie weit Zahlen einer Liste voneinander entfernt sind.
  • Sie steht indirekt für die Entfernung der Zahlen vom gemeinsamen arithmetischen Mittel.

Beispiele für kleine und große Varianzen


  • Kleine Varianz: 1; 2; 1; 4; 3; 5.
  • Große Varianz: 1; 2; 1; 22; 21; 19

Sprechweisen für Varianz


  • Man sagt: die erste Liste streut stärker.
  • Oder: die erste Liste hat eine größere Streuung.

Eigenschaften der Varianz


  • Die Varianz ist immer positiv oder Null.
  • Je größer die Varianz, desto unterschiedlicher sind die Zahlen der Urliste.
  • Die Abkürzung für die Varianz ist ein kleines Sigma zum Quadrat.

Wie berechnet man die Varianz?


  • Entweder über eine längere Formel ...
  • oder als Quadrat der Standardabweichung.

Abkürzungen


  • V
  • Sigma²
  • var(x)


Woher kommt die Abkürzung σ²?


  • Die Wurzel aus der Varianz ist die Standardabweichung σ.
  • Das heißt im Umkehrschluss: σ² gibt wieder die Standardabweichung.

Startseite Impressum Feedback © 2010-2025 Nachilfe Physik Nachilfe Chemie