A B C D E F G H I J K L M N O P Q R S T U V W X Y Z 9 Ω
Das Banner der Rhetos-Website: zwei griechische Denker betrachten ein physikalisches Universum um sie herum.

Varianz aus Datenliste

Berechnung

© 2016 - 2025




Basiswissen


Man hat eine Datenliste, also eine Liste von Zahlen, gegeben. Dafür soll die Varianz σ² berechnet werden. Die Varianz ist ein sogenanntes Streuungsmaß. Die Berechnung ist hier Schritt-für-Schritt erklärt.



Bildbeschreibung und Urheberrecht
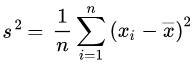
Man sieht die Formel für die Standardabweichung. Das s² steht für die Varianz, das kleine s steht für die Standardabweichung, das kleine n steht für die Anzahl aller Zahlenwerte, das xi steht für jeden einzelnen Zahlenwert, das x mit dem Querstrich steht für das arithmetische Mittel der gegebenen Zahlen und das große Sigma (gekipptes M) steht für "Summe".☛


Wie schreibt man die Varianz?


  • Oft wird die Varianz auch als quadriertes kleines s geschrieben, also s².

Zahlenliste gegeben


  • Die Datenliste ist: 4; 6; 8; 2; 2; 8; 10; 10; 0; 0
  • Diese zehn Zahlen zusammen haben eine gemeinsame Varianz.

1. Schritt


  • Für die zehn Zahlen oben ist das arithmtische Mittel 5.

2. Schritt


  • Berechne für jede Zahl den Abstand zum arithmetischen Mittel.
  • Der Abstand ist die Differenz, man rechnet: arithmetisches Mittel minus Zahl.
  • Das Ergebnis wird dann für jede Zahl quadriert.
  • Im Zahlenbeispiel entstehen so also 10 Quadratzahlen:

4 ist 1 weg von 5. 1 quadriert gibt 1.
6 ist 1 weg von 5. 1 quadriert gibt 1.
8 ist 3 weg von 5. 3 quadriert gibt 9.
2 ist 3 weg von 5. 3 quadriert gibt 9.
2 ist 3 weg von 5. 3 quadriert gibt 9.
8 ist 3 weg von 5. 3 quadriert gibt 9.
10 ist 5 weg von 5. 5 quadriert gibt 25.
10 ist 5 weg von 5. 5 quadriert gibt 25.
0 ist 5 weg von 5. 5 quadriert gibt 25.
0 ist 5 weg von 5. 5 quadriert gibt 25.

3. Schritt


  • Bilde die Quadratsumme
  • Addiere also alle Quadrate aus dem letzten Schritt zusammen.
  • Für das Zahlenbeispiel oben gibt das die 138.

4. Schritt


  • Quadratsumme durch Anzahl n teilen
  • Am Schluss teilt man die Summe der Quadrate durch die Anzahl n der Zahlen.
  • Die Gesamtzahl n in unserem Beispiel war die 10.
  • Das gibt in unserem Beispiel die Zahl 13,8.
  • Die gesuchte Varianz ist die 13,8.

Aufgaben dazu


Einige Übungsaufgaben zur Berechnung der Varianz sind hier als Quickcheck zusammengestellt. Zu allen Aufgaben gibt es immer auch eine Lösung. Direkt zu den Aufgaben geht es über => qck

Startseite Impressum Feedback © 2010-2025 Nachilfe Physik Nachilfe Chemie