A B C D E F G H I J K L M N O P Q R S T U V W X Y Z 9 Ω
Das Banner der Rhetos-Website: zwei griechische Denker betrachten ein physikalisches Universum um sie herum.

Standardabweichung aus Datenliste

Berechnung

© 2016 - 2025




Basiswissen


Zum Beispiel für die Liste der Zahlen 4, 7 und 10: wie man das das kleine Sigma oder s berechnet, wenn man eine Datenliste, das heißt eine Liste aus Zahlen, gegeben hat: das ist hier kurz mit einem Zahlenbeispiel erklärt.



Bildbeschreibung und Urheberrecht
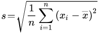
Man sieht die Formel für die Standardabweichung.☛


Datenliste


  • Gegeben sein muss eine Datenliste, z. B. Längen von Nüssen in cm:
  • Hier ist eine Beispielliste mit drei Werten: 4 cm | 7 cm | 10 cm
  • Man lässt von dieser Datenliste die Einheiten weg, falls vorhanden:
  • Man hat dann nur eine Zahlenliste: 4 | 7 | 10

Berechnung


  • Arithmetisches Mittel x-Strich meint dasselbe wie Durchschnitt.
  • Für die Datenliste oben wäre das die 7.
  • Dann von jeder Zahl (oft xi) den Abstand zum Mittelwert berechnen
  • Das wären im Beispiel: 3 | 0 | 3
  • Dann von allen Abständen das Quadrat bilden
  • Das wären im Beispiel: 9 | 0 | 9
  • Die Summe der Quadrate durch die Anzahl n der Werte teilen
  • Das gäbe im Beispiel die Zahl 6.
  • Daraus die Wurzel ziehen, gäbe etwa 2,45
  • Das ist die Standardabweichung Sigma oder klein s.

Fußnote


  •  [1] Ein Lehrbuch der Mathematik definiert: "Die Wurzel aus der mittleren quadratischen Abweichung […] der Werte der Häufigkeitsverteilung vom arithmetischen Mittel [x-quer] wird als empirische Standardabweichung [s-quer] bezeichnet." In: Elemente der Mathematik. Nordrhein-Westfalen. Qualifikationsphase. Leistungskurs. Schroedel Westermann. Druck vom Jahr 2021. ISBN: 978-3-507-8799-1-1. Dort die Seite 327. Siehe auch 👉 empirische Standardabweichung

Startseite Impressum Feedback © 2010-2025 Nachilfe Physik Nachilfe Chemie