A B C D E F G H I J K L M N O P Q R S T U V W X Y Z 9 Ω
Das Banner der Rhetos-Website: zwei griechische Denker betrachten ein physikalisches Universum um sie herum.

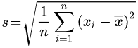
Standardabweichung berechnen

6 Aufgaben für den Einstieg

Berechne die Standardabweichung für jeden der fünf der Datensätze. Wenn du alles im Kopf rechnest, kriegst du ein gutes Gefühl dafür, was die Standardabweichung bedeutet (es kommen meistens Kommazahlen heraus):

a) 7; 7; 7



Bildbeschreibung und Urheberrecht
Man sieht die Formel für die Standardabweichung.☛


c) -6; 0; 6
d) -6; 9; 12
e) -1; 0; 13

Für Experten

f) Finde drei Zahlen, deren Standardabweichung zwei ergibt.

Lösungen


a) Genau 0
b) Genau Wurzel 24, etwa 4,9
c) Genau Wurzel 24, etwa 4,9
d) Genau Wurzel 62, etwa 7,9
e) Genau Wurzel 122/3, etwa 6,4

f) Minus Wurzel 6; 0; plus Wurzel 6